不定积分
数学
分析
期末考试临近
今天我们一起来复习不定积分吧
Part1笔记
FROM:人工智能2403班庞怡彤







Part2习题
第1题
换元积分法

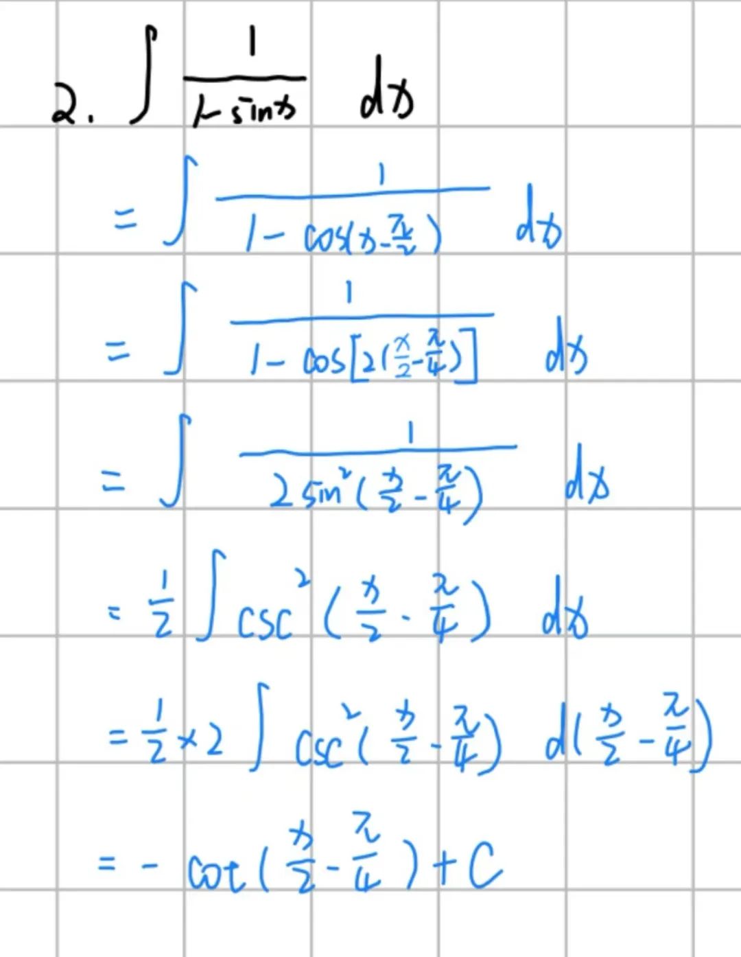
第2题
解法一:

解法二:

第3题
凑微分+分部积分法
今天的复习就到这里了
祝愿大家在期末都能考出理想的成绩!
关注SUIBE青春统信
获取更多资讯
高数帮帮站线上交流群
为你的数学加分
笔记整理 |庞怡彤
习题整理 |李潜源
文案丨院学生会学生办公室陆昕宇
排版丨院学生会学生办公室 陆昕宇
审核丨院学生会学生办公室沈诣豪
责编丨彭 鹏
不定积分
数学
分析
期末考试临近
今天我们一起来复习不定积分吧
Part1笔记
FROM:人工智能2403班庞怡彤







Part2习题
第1题
换元积分法

第2题
解法一:

解法二:

第3题
凑微分+分部积分法
今天的复习就到这里了
祝愿大家在期末都能考出理想的成绩!
关注SUIBE青春统信
获取更多资讯
高数帮帮站线上交流群
为你的数学加分
笔记整理 |庞怡彤
习题整理 |李潜源
文案丨院学生会学生办公室陆昕宇
排版丨院学生会学生办公室 陆昕宇
审核丨院学生会学生办公室沈诣豪
责编丨彭 鹏